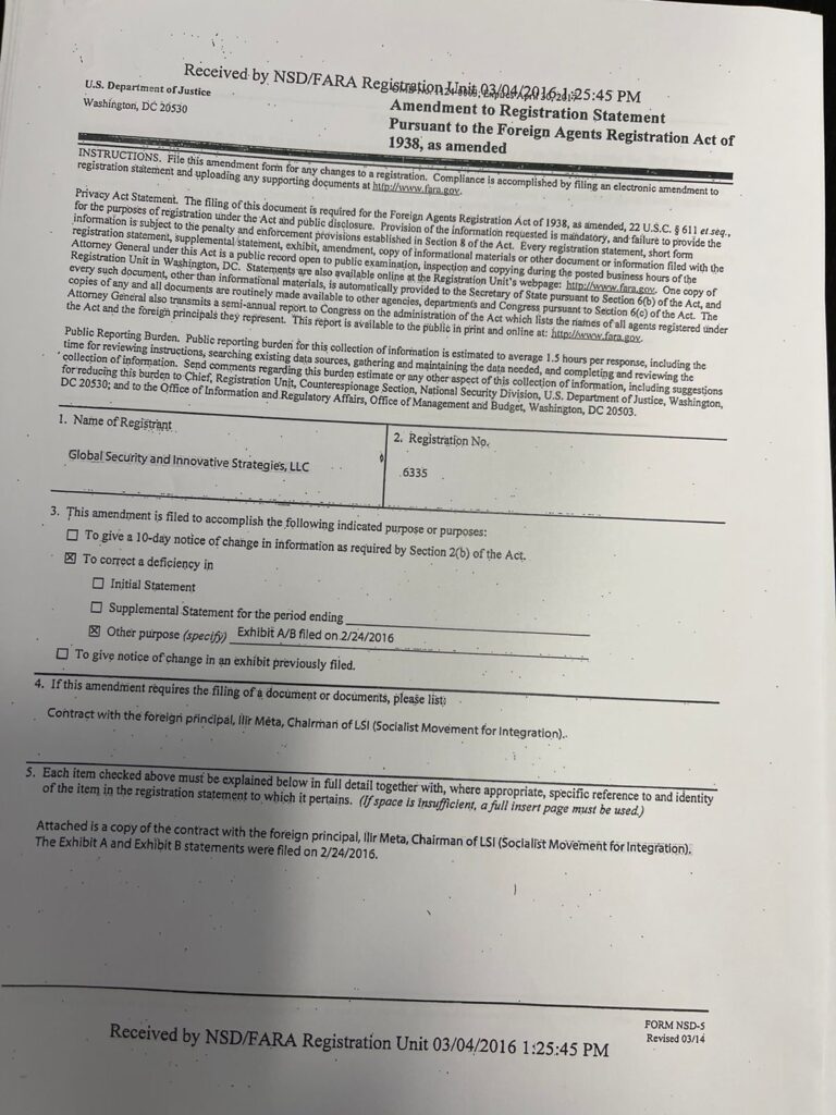
Shuma e paguar nga Lëvizja Socialiste për Integrim dhe Ilir Meta në 2017-n vetëm për lobim në Shtetet e Bashkuara të Amerikës është vetëm maja e ajsbergut të një fushate lobuese që kjo forcë politike dhe Ilir Meta, në atë kohë kryetar i Kuvendit, kanë ndërmarrë në Uashington. Suksesi i kësaj fushate vihet në diskutim nga ngjarjet që rrodhën më vonë, ku sot Ilir Meta, ndoshta pas Sali Berishës është më i injoruari nga politika amerikane.
Tjetër 'lumë' parash lobimi për të pastruar Metën në SHBA, dekorohet në Presidencë edhe 'donatori'
1 / 14
2 / 14
3 / 14
4 / 14
5 / 14
6 / 14
7 / 14
8 / 14
9 / 14
10 / 14
11 / 14
12 / 14
13 / 14
14 / 14
Fotogaleri të tjera
-
Merr flakë makina në Llogara, 28-vjeçari digjet brenda në sediljen e drejtuesit! Ish-polici dyshohet se i dha fund jetës
-
Linda Rama në Qendrën për Lidership në Katar: Teknologjia nuk është më thjesht një mjet, por një formë pushteti
-
Policia britanike kërkon ndihmë për të gjetur Blerimin e shpallur në kërkim, komentet e shqiptarëve ‘thyejnë’ rrjetin: Në Bathore City me do kusho…
-
Hysen Kadiu i përgjigjet Berishës: Gjatë fushatës së 11 majit punova për PD, jo për Ramën! Uji i ndenjur ka nevojë për rifreskim
-
Dosja Epstein, Trump në foto i rrethuar nga gra, publikohen detaje të reja
-
Gërmimet në parkun e Finiqit, Gonxhja: Punimet janë të miratuara dhe të mbikëqyrura nga institucionet përgjegjëse të trashëgimisë kulturore
-
Endri Shabani zgjidhet Avokat i Popullit me 85 vota! Ja sa vota morën kandidaturat e tjera
-
Berisha festoi 35-vjetorin e PD në seli, Salianji e sfidon nga Gjirokastra, takim masiv me strukturat
-
U ndalua në Greqi si vrasës me pagesë, policia kontroll në banesën e 45-vjeçarit në Gjirokastër
-
'Maratona' në Kuvend/ Zgjidhet sot Avokati i Popullit mes 6 kandidatëve, PD: Shabani s’është propozimi ynë! PS: Firmosët me dëshirë
-
Klodian Braho në krye të SPAK për mandat 3-vjeçar, do zëvendësojë Dumanin! KLP e voton me 7 vota, Xholi 3, Gokaj 1, Musabelliu asnjë
-
Zgjedhja e kreut të ri të SPAK-ut, ndërkombëtarët zbarkojnë në KLP
