Pjesëmarrja e votuesve në zgjedhjet për kryetar komune në Dardhas të Pogradecit dhe Rrethinat të Shkodrës, sipas Komisionit Qendror të Zgjedhjeve, është publikuar herë pas here në faqen online të KQZ. Më poshtë pjesëmarrja në votime sipas KQZ.
SHIFRAT E PJESËMARRJES DERI NË ORËN 19:00


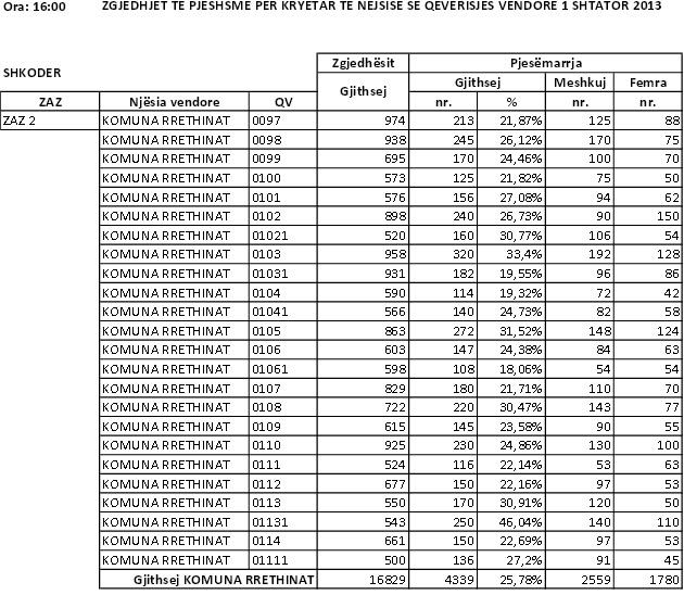
SHIFRAT E PJESËMARRJES DERI NË ORËN 16:00


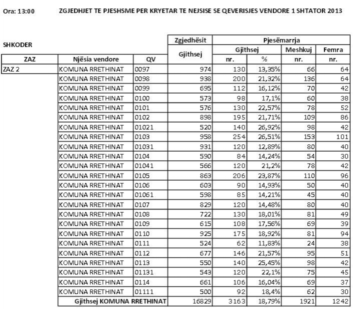
SHIFRAT E PJESEMARRJES DERI NE OREN 13:00


SHIFRAT E PJESEMARRJES DERI NE OREN 10:00


Redaksia online
(ar.sh/shqiptarja.com)
/Shqiptarja.com
SHIFRAT E PJESËMARRJES DERI NË ORËN 19:00


SHIFRAT E PJESËMARRJES DERI NË ORËN 16:00


SHIFRAT E PJESEMARRJES DERI NE OREN 13:00


SHIFRAT E PJESEMARRJES DERI NE OREN 10:00


Redaksia online
(ar.sh/shqiptarja.com)
-
TAG:
- kqz
Sondazhi i ditës: 25 Mars, 23:04
Play-off i Botërorit, mendoni se Shqipëria do e kalojë Poloninë?
-
Po
54.4% -
Jo
34% -
Nuk e di
11.6%
Vota total: 1147
Votat totale janë unike
-
Sondazhi i ditës:
25 Mars, 23:04
Play-off i Botërorit, mendoni se Shqipëria do e kalojë Poloninë?
Lajme të tjera
-
Shpenzimet e partive, Rregullatori i KQZ miraton ndryshimet: Shpenzimet e kandidatit s’përfshihen në ato të forcës politike
6 Mars, 16:50 -
Financimi nga shteti i trajtimeve shëndetësore të specializuara për fëmijët deri në 18-vjeç, dorëzohet në KQZ kërkesa që synon paraqitjen e një projektligji qytetar
4 Mars, 16:13 -
Celibashi në Komisionin për Zgjedhoren: Mungesë e transparencës së vazhdueshme, duhet unifikim i procesit të auditimit
3 Mars, 11:21 -
Qeveria refuzon kërkesën e KQZ për fondin 250 mijë euro për qiratë e selive të partive parlamentare
24 Shkurt, 14:00 -
Zgjedhorja ‘në vend numëro’, Ambasadori i OSBE në Tiranë: Filloni sa më shpejt reformën
5 Shkurt, 11:11 -
KQZ ndan fondet për 2026-tën/ 3.6 mln euro për 17 parti politike, Berisha 'u dhuron' para nga shteti 10 aleatëve! Përfitojnë dhe 6 parti pa deputetë
30 Janar, 13:39 -
Lobimi i PD në SHBA, Kokalari nxjerr zbuluar Berishën: Ke mashtruar, 750 mijë dollarë u paguan nga llogaritë e PD, jo nga elektricisti tropojan (DOKUMENTI)
16 Janar, 13:52 -
16 aktivistë kërkojnë firmat për 2 referendume: Të shfuqizohet barazia gjinore. 7 pyetje shqiptarëve për edukimin seksual e adoptimin
12 Janar, 16:22 -
Referendum për shfuqizimin e ligjit 'Për barazinë gjinore', 16 aktivistë kërkesë në KQZ
9 Janar, 12:58 -
‘Breshka’ e Prokurorisë së Fierit, pas 4 vitesh i kërkon KQZ informacion për hetimet për zgjedhjet e 2021-shit
26 Dhjetor 2025, 09:48 -
A duhet të marrë pagë kryebashkiaku Veliaj? Anuela Ristani pyet KQZ-në, ‘Financat’ dhe ‘Drejtësinë’
15 Dhjetor 2025, 15:22 -
Kontrolli pas zgjedhor i 11 majit, numëruesit nuk kanë vjedhur vota (në 100 kuti deri më tani)! Rinumërim edhe kandidatëve
5 Dhjetor 2025, 15:16
